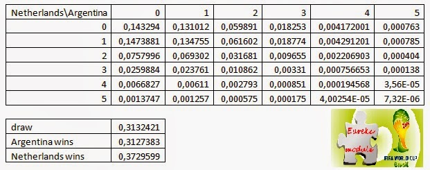
Οι προβλέψεις για τον αγώνα Ολλανδία - Αργεντινή του Παγκοσμίου Κυπέλου. Σχεδόν ίδιες πιθανότητες για τα τρία αποτελέσματα (νίκη Ολλανδίας, νίκη Αργεντινής, ισοπαλία) με ένα μικρό προβάδισμα για την Ολλανδία.  Δείτε τον παρακάτω πίνακα με τις πιθανότητες για κάθε σκορ.
Ως συνήθως οι γραμμές αντιστοιχούν σε γκολ που σημειώνει η Ολλανδία ενώ οι στήλες σε υπέρ γκολ της Αργεντινής. Για παράδειγμα, ο αριθμός 0,1473881 στη δεύτερη γραμμή, δεύτερη στήλη αντιστοιχεί στην πιθανότητα να λήξει ο αγώνας (90-λεπτο και παράταση) 1-0 υπέρ της Ολλανδίας.
Να ευχαριστήσω εδώ την eurekamodule για την υποστήριξη.
Να ευχαριστήσω εδώ την eurekamodule για την υποστήριξη.

 
 
Δεν υπάρχουν σχόλια:
Δημοσίευση σχολίου